doi: 10.56294/ai2024116
ORIGINAL
The use of artificial intelligence in digital journalism and its influence on university student training
El uso de la inteligencia artificial en el periodismo digital y su influencia en la formación de estudiantes universitarios
Hermin Samuel Vera Candelario1, Héctor Córdova1
1Universidad de Guayaquil, Ciencias de la Comunicación Social. Guayaquil, Ecuador.
Citar como: Vera Candelario HS, Córdova H. The use of artificial intelligence in digital journalism and its influence on university student training. EthAIca. 2024; 3:116. https://doi.org/10.56294/ai2024116
Enviado: 07-06-2023 Revisado: 14-09-2023 Aceptado: 02-01-2024 Publicado: 03-01-2024
Editor: PhD.
Rubén
González Vallejo ![]()
ABSTRACT
This research explores the use of artificial intelligence in digital journalism and its influence on the training of university students studying communication in Guayaquil. The research was conducted using a theoretical framework to study key concepts such as AI tools, content analysis, ethical challenges and, above all, the responsibility that must be taken when using these technologies. Therefore, a methodology was applied using interviews and surveys, obtaining important data to support the research and thus be able to carry out the respective analysis of the results obtained. The purpose of this work is to develop a strategy for a training plan for the ethical and efficient use of artificial intelligence in digital journalism for FACSO students, so that they can learn the correct use of artificial intelligence in digital journalism.
Keywords: Journalism; Artificial Intelligence; Ethics; Students; Digital Journalism.
RESUMEN
En la presente investigación, se explora el uso de la inteligencia artificial en el periodismo digital y su influencia en la formación de estudiantes universitarios de una carrera de comunicación en Guayaquil, en la cual se realizó una investigación por medio del marco teórico, con el fin de estudiar los conceptos claves del tema, tales como herramientas de la IA, análisis de contenido, los retos éticos y sobre todo la responsabilidad que se debe tener al utilizar estas tecnologías, por lo que se aplicó una metodología utilizando la técnica, la entrevista y encuestas, obteniendo datos importantes para el sustento de la investigación y así poder realizar el análisis respectivo de los resultados dados. El propósito del presente trabajo es realizar una estrategia sobre un plan de capacitación para el uso ético y eficiente de la inteligencia artificial en el aprendizaje del periodismo digital para los estudiantes de la FACSO, de esta manera poder aprender el uso correcto de la inteligencia artificial en el periodismo digital.
Palabras clave: Periodismo; Inteligencia Artificial; Ética; Estudiantes; Periodismo Digital.
INTRODUCCIÓN
Hoy en día los avances tecnológicos han crecido oportunamente, siendo así, que la inteligencia artificial es utilizada por muchos usuarios,(1,2,3,4) entre ellos los estudiantes, para poder cumplir con su formación académica, e incluso en profesionales para el periodismo digital, de las cuales, estas herramientas digitales sirven para recopilar y redactar información para el consumo a nivel televidente.(5,6,7,8,9)
Por medio de la frecuencia del uso de la inteligencia artificial en el periodismo digital, se ha podido desarrollar, deberes repetitivos, así como la formación de breves noticias para luego ser publicadas es las diferentes plataformas digitales que existen;(10,11,12,13) sin embargo, mediante su práctica, se ha proporcionado límites éticos y creativos que brindan estas tecnologías, en donde, los estudiantes, se enfrentan a tener la necesidad de comprender no solo el funcionamiento de estas herramientas, sino que también como se utiliza para crear una noticia informativa.(14,15,16,17)
La presente investigación tiene como objetivo, analizar el uso de la inteligencia artificial en el periodismo digital y su influencia en la formación de los estudiantes de FACSO, de tal manera, en que se pueda desarrollar definiciones que ayuden a contribuir al conocimiento del tema para dar una solución ante el problema dado.
En los últimos años, la inteligencia artificial se ha apoderado en algunos sectores de la ciencia, en donde se ha obtenido un impacto significativo para aquellos estudiantes que se dirigen hacia la carrera del periodismo digital,(18,19,20,21) teniendo como resultados la recolección, procesamiento y presentación de información de algún tema de interés, con el fin de generar nuevos desafíos para los profesionales de los medios de comunicación.
Por medio del uso de la inteligencia artificial muchos periodistas han mejorado al momento de presentar sus contenidos, ya que, a la vez están desarrollando sus habilidades al hacer sus notas más creativas y más que todo hacer llamar la atención a los televidentes y así poder crear una audiencia más significativa a través de ello.(22,23,24,25)
Con respecto en los estudiantes, se vuelve un desafío para ellos, porque no solo se debe comprender su funcionamiento,(26,27) sino que también deben tener conocimiento sobre el uso de la inteligencia artificial, y también puede ser una oportunidad para ellos poder desarrollar estas habilidades, ya que, les permite ser mejores en sus competencias colocando nuevos retos y desafíos en su profesionalismo.(28,29,30)
¿Cómo impacta el uso de la inteligencia artificial en el periodismo digital en la formación académica y profesional de los estudiantes de FACSO?
Objetivo General
Analizar el impacto de la inteligencia artificial en el periodismo digital y su influencia en la formación académica y profesional de los estudiantes de la Facultad de Comunicación Social (FACSO).
MÉTODO
Tipos de investigación
Investigación Descriptiva
La investigación descriptiva tiene como finalidad describir ciertos fenómenos que se dan en alguna situación describiendo sus características, promoviendo realizar preguntas para la investigación de manera específica, para luego ser justificado por los estudios experimentales o correlacionales.(1)
La investigación es descriptiva, ya que permite estudiar las características de como funciona la inteligencia artificial en el periodismo digital, y también, su influencia que tienen con la formación académica de los estudiantes de la FACSO, identificando a la vez cuales son las herramientas más utilizadas de la inteligencia artificial para los futuros profesionales de la institución.
Investigación Exploratorio
La investigación exploratoria es utilizada en el método cuantitativo y cualitativo dentro de un estudio, por lo cual, sirve para entender su enfoque principal del problema y se puede aplicar en ciertos fenómenos que anteriormente no han sido investigado, teniendo como interés de explorar cuáles son sus características, para luego formular hipótesis para el respectivo estudio.(2)
En el presente estudio, se aplicará la investigación exploratoria, ya que su propósito será comprender de mejor manera el problema, identificar cuáles son las variables claves que se relacionan con el tema y poder conocer sus problemas o conceptos emergentes de la investigación por estudiar.
Diseño de Investigación
Diseño No Experimental
El diseño no experimental de una investigación se trata cuando los fenómenos observados de forma natural son analizados, es decir, los fenómenos no pueden ser manipulados por razones éticas, por lo cual, pueden ser utilizadas con muestras medianas según su necesidad por medio de la observación.(3)
El diseño no experimental, es el que más se asemeja para la investigación sobre el tema propuesto del uso de la inteligencia artificial en el periodismo digital y su influencia en la formación de los estudiantes de FACSO, ya que, sus características principales y objetivos del proyecto no necesitan ser manipuladas las variables directas, más bien, se necesita estrategias como, la observación, comprensión y análisis de los fenómenos a estudiar.
En otras palabras, es el más acertado para aplicar en la presente investigación, porque este factor permite analizar cuál es el impacto de la inteligencia artificial en el periodismo digital, así como sucede en la realidad, sin tener la necesidad de alterar el entorno natural de los estudiantes como tal, obteniendo resultados más éticos y representativos de la investigación.
Metodología de la Investigación
En la presente investigación, se utilizará el enfoque cualitativo y el enfoque cuantitativo.
Enfoque Cualitativo
El enfoque cualitativo, permite visualizar la realidad de ciertos componentes por medio de la verificación del procedimiento contextual, de los sujetos y percepciones de los sujetos, por lo cual, es importante tener en cuenta que los resultados no deben ser generales para otras realidades, sino que hay que considerar el principio de la diversidad en cuanto a los fenómenos y hechos.(4)
El enfoque cualitativo ayuda a desarrollar y entender desde el punto de vista en cuanto a las experiencias y criterios de los estudiantes y docentes acerca del impacto de la inteligencia artificial en el periodismo digital, así como también, poder analizar cuales son las implicaciones académicas y éticas sobre su uso.
Enfoque Cuantitativo
El enfoque cuantitativo se puede ver la realidad de manera objetiva y concreta, de tal manera en que arrojen resultados de comportamientos de las variables, tales como independiente y dependientes, teniendo resultados del proceso investigativo repetitivos y generales para ciertos contextos y realidades.(4)
El enfoque cuantitativo, permite establecer la medición de la frecuencia y el nivel de uso de las herramientas de la inteligencia artificial, y también de estimar las competencias desarrolladas por los estudiantes de la FACSO, asegurando un análisis completo del fenómeno estudiado.
Técnicas e Instrumentos de Investigación
Investigación bibliográfica
La investigación bibliográfica es de gran ayuda para el estudio, ya que permite adjuntar la información tanto contextual como teórica a través del impacto de la inteligencia artificial en el periodismo digital de los estudiantes de la FACSO, se desarrollará por medio del análisis de artículos científicos, revistas y estudios previos que permitan complementar la estructura de la investigación para luego ser sustentada.
Encuestas
La encuesta es una serie de preguntas que se realiza, con el propósito de recopilar las distintas opiniones que tiene las personas encuestadas y así obtener la información apropiada sobre una visión general para la evaluación del estudio; además por medio de la información recopilada se espera analizar estadísticamente aquellos patrones y tendencias que contribuyan al cumplimiento de los objetivos propuestos en el estudio.
La encuesta está estructurada por 10 preguntas de opción múltiple, la cual será desarrollada por puntos específicos de la investigación, con el fin de conocer las diferentes opiniones de los estudiantes, la cual se dará en línea, con el uso de la herramienta digital Google Forms.
Entrevistas
La entrevista es una herramienta muy utilizada en las investigaciones cualitativas, la cual, su función principal objetivo es recolectar datos para poder aplicarlos en los estudios, haciendo énfasis a una conversación entre el entrevistador y el entrevistado, para lograrlo, el investigador deberá realizar preguntas que estén al alcance del tema del interés de la investigación.(5)
La entrevista es una técnica cualitativa, la cual está estructurada por una serie de preguntas, entre dos o más personas con el fin de recolectar información y conocer las diferentes opiniones sobre el determinado estudio, de los cuales van dirigidos a un docente que labora para la FACSO y un periodista del medio.
Población y Muestra
Población
Es un grupo de individuos que comparten una serie de cualidades en común dado por un espacio determinado, en ciertos casos, no se tiene la posibilidad de analizar toda la población por factor tiempo y por falta de recursos humanos, por lo cual, está dada por el planteamiento del problema y los objetivos que se determinan para alcanzar el estudio apropiado.(3)
En la presente investigación, se escogió a los estudiantes que están cursando el octavo y noveno semestre de la carrera de comunicación social de la FACSO; este grupo es seleccionado, ya que son jóvenes que están aprendiendo sobre el periodismo y están aptos para proporcionar un enfoque general sobre el fenómeno estudiado.
Según la secretaría de la Facultad de Comunicación Social de la Universidad de Guayaquil, para el octavo y noveno semestre del periodo lectivo 2024-2025 CII existe un total de 355 estudiantes matriculados.
Muestra
La muestra es el subconjunto que tiene la población, la cual permite recopilar los datos en tamaño más pequeños para el debido estudio, considerando el factor tiempo, reducción de costos y puede generar datos con mayor precisión.(3)
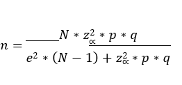
Por medio de la siguiente fórmula estadística se determina el tamaño de la muestra para el respectivo estudio.

Donde:

Luego de aplicar la formula con los datos correspondientes y realizar la respectiva operación, se puede evidenciar una muestra de 185 estudiantes para formar parte de las encuestas por realizar.
RESULTADOS
1. ¿Tiene conocimiento sobre la inteligencia artificial?

Figura 1. Conocimiento sobre la I.A

Figura 2. Conocimiento sobre la I.A
Análisis: según el 84 % de las personas encuestadas indican que si tienen conocimiento sobre la inteligencia artificial; mientras que el 16 % no tiene conocimiento acerca de la inteligencia artificial; por lo que se concluye que la mayoría de los encuestados tienen concocimiento sobre la inteligencia artificial.
2. ¿Alguna vez ha utilizado alguna aplicación de la inteligencia artificial en sus estudios?

Figura 3. Aplicación de la inteligencia artificial

Figura 4. Aplicación de la inteligencia artificial
Análisis: el 74 % de las personas a quienes se les realizó la encuestas siempre han utilizado alguna aplicación de la inteligencia artificial en sus estudios; de lo contrario el 26 % nunca ha utilizado alguna aplicación de la inteligencia artificial, lo que indica que existe una semejante dependencia de aquellas herramientas tecnológicas utilizadas para el aprendizaje.
3. ¿Cuál de las siguientes herramientas de la inteligenncia artificial utilizaría en sus estudios?
|
Tabla 1. Herramientas de la inteligencia artificial |
||
|
Variable |
Frecuencia Absoluta |
Frecuencia Relativa |
|
Análisis de datos |
70 |
38 |
|
Edición de videos o imágenes |
57 |
31 |
|
Generación de contenido automático |
58 |
31 |
|
Total |
185 |
100 |

Figura 5. Herramientas de la inteligencia artificial
Análisis: según los resultados, el 38 % de los encuestados utilizaría la herramienta de análisis de datos para sus estudios, seguido del 31 % para generación de contenido automático y el 31 % restante para edición de videos o imágenes; siendo así que la mayoría de las personas tienen preferencia hacia los análisis de datos como una herramienta útil para sus estudios.
4. ¿Considera que el uso de las herramientas de la inteligencia artificial es una oportunidad para desarrollar habilidades en sus estudios?
|
Tabla 2. Oportunidad para desarrollar habilidades |
||
|
Variable |
Frecuencia Absoluta |
Frecuencia Relativa |
|
Bueno |
168 |
91 |
|
Malo |
17 |
9 |
|
Total |
185 |
100 |

Figura 6. Oportunidad para desarrollar habilidades
Análisis: el 91 % de los encuestados considera que el uso de las herramientas de la inteligecia artificial es una oportunidad para desarrollar habilidades en sus estudios, de lo contrario el 9 % asume que es malo, lo que finalmente significa que las personas perciben un impacto positivo en sus estudios al utilizar las herramientas que brindan la inteligencia artificial.
5.¿ Cree usted que la inteligencia artificial debe ser una herramienta fundamental para la formación periodística?
|
Tabla 3. Herramienta para la formación periodística |
||
|
Variable |
Frecuencia Absoluta |
Frecuencia Relativa |
|
Totalmente de Acuerdo |
128 |
69 |
|
Totalmente en Desacuerdo |
57 |
31 |
|
Total |
185 |
100 |

Figura 7. Herramienta para la formación periodística
Análisis: el 69 % del total de los encuestados cree que la inteligencia artificial debe ser una herramienta fundamental para la formación periodística; de lo contrario el 31 % de los encuestados están totalmente en desacuerdo. Según los resultados refleja que utilizar las herramientas de la inteligencia artificial para la formación periodística es de gran utilidad para las personas que buscan mejorar contenidos de calidad para la audiencia.
6. ¿Para usted qué tan importante es el impacto de la inteligencia artificial sobre el periodismo digital?
|
Tabla 4. Impacto de la inteligencia artificial |
||
|
Variable |
Frecuencia Absoluta |
Frecuencia Relativa |
|
Muy importante |
150 |
81 |
|
Poco importante |
35 |
19 |
|
Total |
185 |
100 |

Figura 8. Impacto de la inteligencia artificial
Análisis: el 81 % de los encuestados considera que es muy importante el impacto que tiene la inteligencia artificial sobre el periodismo digital, mientras que el 19 % restante considera que es poco importante. Finalmente se concluye a que el impacto de la inteligencia artificial sobre el periodismo digital puede transformar y optimizar contenidos de mejoramiento que pueda ser de mayor precisión para los procesos y datos informativos en el periodismo digital.
7. ¿Piensa usted que el uso continuo de la IA en el periodismo digital puede traer consecuencias éticas en el profesionalismo?

Figura 9. Consecuencias éticas en el profesionalismo

Figura 10. Consecuencias éticas en el profesionalismo
Análisis: el 68 % del total de los encuestados piensa que el uso continuo de la Ia en el periodismo digital sí puede traer consecuencias éticas en el profesionalismo, de lo contrario el 32 % del total de los encuestados piensa que no; dando como resultados en que puede haber consecuencias éticas a nivel profesional al momento de utilizar continuamente la inteligencia artificial en el periodismo así como la desinformación por sesgos algorítmicos y el poco uso transparente en el peridismo.
8. ¿Qué estrategias piensa usted que sería más útil en la formación de los estudios para emplear el periodismo digital?
|
Tabla 5. Estrategias para la formación de estudios |
||
|
Variable |
Frecuencia Absoluta |
Frecuencia Relativa |
|
Realizar talleres prácticos de la IA |
69 |
37 |
|
Facilitar cursos específicos sobre la ética en el uso de la IA |
83 |
45 |
|
Integrar más asignaturas sobre la IA |
33 |
18 |
|
Total |
185 |
100 |

Figura 11. Estrategias para la formación de estudios
Análisis: el 45 % de los encuestados prefiere la estrategia de facilitar cursos específicos sobre la ética en el uso de la IA para emplear el periodismo digital, seguido del 37 % en cuanto a realizar talleres prácticos de la IA, y por último un 18 % para integrar más asignaturas sobre la IA. Se comprueba que la mayoría prefiere realizar cursos específicos sobre la ética en el uso de la IA con el fin de aprender más en base al periodismo digital.
9. ¿Cree usted que gracias a los avances tecnológicos la IA puede reemplazar al periodismo profesional?

Figura 12. Avances tecnológicos de la IA

Figura 13. Avances tecnológicos de la IA
Análisis: el 51 % de los encuestados cree que gracias a los avances tecnológicos la IA puede reemplazar al periodismo profesional; en cambio el 49 % considera lo contrario. De acuerdo a los resultados se puede observar que por medio a los avances tecnológicos la IA puede reemplazar al periodismo profesional a través del uso de las herramientas que brinda la IA haciendo que este reemplace las ideas propias de un periodista profesional.
10. ¿Le gustaría asistir a alguna capacitación profesional acerca de la inteligencia artificial en el periodismo?

Figura 14. Capacitación profesional de la IA

Figura 15. Capacitación profesional de la IA
Análsis: según los resultados de la encuesta el 84 % sí le gusrtaría asistir a alguna capacitación profesional acerca de la inteligencia artificial en el periodismo con el fin de aprender y enriquecer sus conocimientos profesionales; de lo contrario el 16 % no le gustaría asistir.
Resultados de entrevistas
Entrevista N°1
Nombre: MSIG. Ronny Enrique Santana Estrella.
Magister en Sistemas de Información Gerencial.
Docente de la Facultad de Comunicación Social (FACSO).
1. En su experiencia. ¿Ha escuchado alguna vez sobre la inteligencia artificial en el desarrollo académico periodístico?
Sí, está siendo incorporada en el ámbito académico periodístico. Sus aplicaciones abarcan desde el análisis de datos y la verificación de información hasta la generación de contenidos y la personalización de experiencias
2. ¿Qué herramientas de la inteligencia artificial considera usted más relevante para usar en el aprendizaje académico para los estudiantes de la carrera de comunicación social?
· Grammarly, que mejora la redacción y el análisis de textos.
· Herramientas como Tableau, para interpretar tendencias y patrones informativos.
· Adobe Sensei, para optimizar diseño y producción audiovisual.
· Full Fact, útil para fact-checking en la era digital.
3. ¿Qué opina usted sobre el impacto de la inteligencia artificial en la calidad de las noticias digitales que elaboran los estudiantes?
La inteligencia artificial puede contribuir a mejorar la calidad de las noticias digitales al facilitar tareas como la verificación de datos y el análisis de información. No obstante, su implementación debe complementarse con una formación sólida en ética y redacción para garantizar un equilibrio adecuado en su uso.
4. ¿Ha observado algún cambio en las habilidades de los estudiantes al implementar la inteligencia artificial en sus estudios?
Si, favorece el desarrollo de habilidades analíticas, el uso eficiente de herramientas tecnológicas
5. ¿Cómo podría usted enseñar a los estudiantes de la carrera de comunicación social a usar la inteligencia artificial de manera responsable en el periodismo?
Deben aprender a utilizar las herramientas de IA de manera práctica, combinándolas con su juicio y creatividad en el periodismo.
6. ¿De qué manera usted integra la inteligencia artificial en su planificación formativa para dar mejores resultados en el aprendizaje de los estudiantes?
En la planificación formativa permite personalizar el aprendizaje y automatizar tareas, lo que optimiza el tiempo para actividades más creativas y crítica.
7. ¿Qué tan seguro es para usted utilizar la inteligencia artificial en el aprendizaje sabiendo que puede ser ético y transparente para los estudiantes?
La IA es segura para el aprendizaje si se usa de manera ética y transparente.
8. ¿Qué desafíos usted ha enfrentado al implementar la inteligencia artificial en la educación y como lo ha superado?
No he enfrentado desafíos, ya que mi área de especialización es en Sistemas.
9. ¿Cómo califica la validez de las herramientas de la inteligencia artificial en comparación con los sistemas habituales de educación?
Las herramientas de IA pueden enriquecer los sistemas educativos tradicionales al ofrecer personalización, automatización y análisis de datos, lo que optimiza el aprendizaje.
10. ¿Qué estrategias utiliza para mantenerse en constante actualización y capacitación acerca de las innovaciones que hay en la inteligencia artificial empleada en la educación?
Para mantenerme al día con las innovaciones en inteligencia artificial aplicada a la educación, participo en cursos, sigo investigaciones y me conecto con expertos en el tema. También experimento con nuevas herramientas de IA en el entorno educativo para explorar su potencial.
Entrevista N°2
Nombre: Lcdo. Pablo Vela
Medio: Director del programa de TV fútbol, transmitido por señal positiva Tv.
1. ¿Cómo utiliza la inteligencia artificial al momento de crear y redactar un contenido?
La inteligencia artificial me ayuda a redactar los contenidos, hay aplicaciones específicas de redacción y reduce el tiempo de lectura, simplifica la información.
2. ¿Qué herramientas de la inteligencia artificial ha usado para producir un contenido visual?
Las herramientas que he utilizado para producir contenido visual son: Capcut, Canva, y Tiktok.
3. ¿Considera usted que la inteligencia artificial es una buena herramienta para mejorar la calidad de contenidos periodísticos?
La IA ha sido un aporte importante, para la nueva era de periodismo, no es una buena herramienta, la IA es una herramienta necesaria para poder crear contenido de calidad.
4. En su experiencia ¿Cómo asegura usted que utilizar la inteligencia artificial pueda ayudar a enfrentar el contenido de noticias falsas?
Podría ayudar a frenar las noticias falsas siempre y cuando haya un chequeo previo antes de dar por culminado un contenido, no sé, que las aplicaciones tengo una verificación previa de la información antes de que la puedan utilizar.
5. ¿Piensa usted que es una oportunidad o riesgo aplicar inteligencia artificial en el periodismo digital?
Es una oportunidad de oro que tenemos para poder realizar trabajos periodísticos en menor tiempo y sin necesidad de mucha inversión.
6. ¿Ha tenido alguna complicación técnica al ejecutar la inteligencia artificial en su trabajo periodístico?
No, en algunas ocasiones no he sabido usarla de manera correcta, pero hay videos tutoriales que te enseñan cómo aplicarla de manera correcta.
7. ¿Cómo impide que el uso de la inteligencia artificial se encamine a la información engañosa o errónea?
Que las AppStore tengan un chequeo previo de la información, para después poderla utilizar.
8. ¿Cómo visualiza usted el futuro del periodismo digital en relación con el uso de la inteligencia artificial?
Los creadores de contenido digital, vamos a necesitar estas herramientas de IA, para poder realizar buenos trabajos.
9. ¿Cómo maneja la ética y la veracidad de la información cuando utiliza la inteligencia artificial?
Antes de hacer contenido busco información real, de medios con credibilidad para poder realizar un buen trabajo.
10. ¿Qué recomendación daría usted al momento de utilizar la inteligencia artificial en los contenidos digitales?
Es una herramienta muy amplia, pueden buscar videos tutoriales para sacarle el máximo provecho.
Análisis de las entrevistas
Según las entrevistas realizadas a los profesionales, se pudo verificar que tienen conocimiento sobre la inteligencia artificial en el periodismo digital, de los cuales se hace uso de diferentes herramientas que han servido para producir o generar contenido de calidad; además utilizando de manera correcta la inteligencia artificial en el periodismo podría frenar las noticias falsas, siendo una oportunidad de trabajo para aquellos que lo necesiten; sin embargo hay que tomar consideraciones al momento de usarla así como tener un chequeo previo de información a tomar por alguna herramienta, buscar información real, que les permita facilitar la verificación de datos y análisis de información.
Por otra parte, en el ámbito académico, estas herramientas ayudan a desarrollar habilidades en los estudiantes, lo cual es importante que se incluya en actividades de manera práctica, con el fin de personalizar el aprendizaje y automatizar tareas que les permita optimizar tiempo, por lo cual, para mantenerse en constante actualización es necesario tomar cursos que les permita enriquecer conocimiento de cómo manejar correctamente las herramientas de la inteligencia artificial.
Comprobación de Hipótesis
Mediante los resultados obtenidos de las encuestas y entrevistas, se pudo constatar la hipótesis proyectada. Por medido del análisis de respuestas realizado a los estudiantes de la FACSO y el análisis de las personas implicadas en las entrevistas, se determina que si existe una influencia entre la inteligencia artificial y el periodismo en los estudiantes.
Así mismo, a través de la metodología utilizada en la investigación, se pudo confirmar que los estudiantes hoy en día utilizan la inteligencia artificial de manera continua en sus actividades; en donde según los resultados la mayoría de los estudiantes tienen conocimiento sobre la inteligencia artificial haciéndolo parte de ellos al momento de utilizar herramientas tecnológicas de utilidad para presentar sus actividades en el periodismo digital, y por tal razón están de acuerdo en seguir aprendiendo el manejo de las herramientas digitales con responsabilidad ética.
CONCLUSIONES
En la actualidad la inteligencia artificial es una herramienta necesaria para aplicarlo en contenidos del periodismo digital, por lo cual, mucho de los estudiantes que están cursando la carrera de comunicación social hacen uso de este para realizar sus actividades periodísticas; sin embargo, dentro de los contenidos periodísticos expuestos no todos son confiables, ya que poseen información confiable haciendo que el trabajo pierda credibilidad ética.
Por estos motivos, se realizó estudios tales como la entrevistas y encuestas para luego ser analizadas, dando como resultados que los estudiantes hacen uso de la inteligencia artificial para realizar sus tareas académicas, por lo que el principal problema es que utilizan la inteligencia artificial sin fines éticos; razón por la cual, se diseño un plan de capacitación para el uso ético y eficiente de la inteligencia artificial en el aprendizaje del periodismo digital para los estudiantes de la FACSO.
Una vez analizada todos los capítulos, se llegó a la conclusión de que la propuesta realizada es viable y confiable, ya que va a ayudar a los estudiantes a implementar de manera correcta y ética el uso de la inteligencia artificial en el periodismo digital, siendo una herramienta principal para sus actividades académicas, brindando información con responsabilidad y en transparencia, y de esta forma poder emplearla en el periodismo digital fortaleciendo sus capacidades y habilidades para la adaptación de estas tecnologías.
RECOMENDACIONES
Dentro del plan de capacitaciones para el uso ético y eficiente de la inteligencia artificial en el aprendizaje del periodismo digital para los estudiantes de la FACSO se recomienda:
Implementar el plan de capacitación periódicamente, con el fin de que los estudiantes puedan ser motivados en el aprendizaje de su profesión y actualización de conocimientos, esto ayudará a que los estudiantes puedan despejar dudas e informarse acerca de como utilizar las herramientas que brindan la inteligencia artificial.
Fortalecer en los estudiantes los valores éticos dentro de las actividades académicas al momento de utilizar las herramientas de la inteligencia artificial donde se refleje la importancia de ser transparente al realizar informes periodísticos.
Evaluar a los estudiantes sobre los conocimientos obtenidos a través de la respectiva capacitación, en donde se pueda demostrar el aprendizaje adquirido y que a su vez los docentes puedan dar una retroalimentación continua sobre los temas expuestos de la capacitación.
Realizar una pequeña encuesta de satisfacción para los estudiantes, con el fin de verificar que rango de satisfacción tienen sobre el contenido de la capacitación brindada y así poder conocer algunas mejoras posibles para el proyecto.
REFERENCIAS BIBLIOGRÁFICAS
1. Vizcaíno P, Maldonado I, Cedeño R. Metodología de la investigación científica: guía practica. 2023. https://ciencialatina.org/index.php/cienciala/article/view/7658/11619
2. Ramos C. Los alcances de una investigación. 2020. https://cienciamerica.edu.ec/index.php/uti/article/view/336/621
3. Arispe C, Yangali J, Guerrero M, Lozada O, Acuña L, Arellano C. La investigación científica. 2020. https://repositorio.uide.edu.ec/bitstream/37000/4310/1/LA%20INVESTIGACI%C3%93N%20CIENT%C3%8DFICA.pdf
4. Calle S. Diseños de investigación cualitativa y cuantitativa. 2023. https://ciencialatina.org/index.php/cienciala/article/view/7016/10657
5. Lopezosa C. Entrevistas semiestructuradas con Nvivo: pasos para un análisis cualitativo eficaz. 2020. https://repositori.upf.edu/bitstream/handle/10230/44605/Lopezosa_Methodos_08.pdf
6. Criado I. Inteligencia Artificial (y Administración Pública). 2021. https://e-revistas.uc3m.es/index.php/EUNOM/article/view/6097/4426
7. Álvaro M, Alba C. Características y competencias de la enseñanza del periodismo digital en el grado de Periodismo en las universidades públicas españolas. 2020. http://www.scielo.edu.uy/scielo.php?script=sci_arttext&pid=S0797-36912020000200061
8. Baltazar C. Herramientas de IA aplicables a la Educación. 2023. https://www.researchgate.net/publication/377163428_Herramientas_de_IA_aplicables_a_la_Educacion
9. Blanco B. Los fundamentos de la ética: Aristóteles. 2020. https://www.nuevarevista.net/los-fundamentos-de-la-etica-aristoteles/
10. Caballero E. Jürgen Habermas y su teoria de la accion comunicacional. 2020. https://eduardocaballeroardila.wordpress.com/wp-content/uploads/2020/04/jc3bcrgen-habermas-y-su-teorc3ada-de-la-accic3b3n-comunicacional-.pdf
11. Calvo D, López G, Aguar J. Periodismo digital. 2024. https://espejodemonografias.comunicacionsocial.es/article/view/7185/7787
12. Carvajal A, Benítez K, Tusa F. Comunicación: Un enfoque desde la academia. 2023. https://repositorio.utmachala.edu.ec/bitstream/48000/22443/3/Periodismo%20digital%20local%20postpandemia%20%282%29.pdf
13. Carvallo Y, Henríquez N. La ética Aristotélica. 2020. https://www.redalyc.org/pdf/7217/721778106014.pdf
14. Cavalli A, Carrozza T. Dicotomía Naturaleza – Tecnología: diálogo entre el Constructivismo Social de la Tecnología y la Ecología Política Latinoamericana. 2019. https://www.researchgate.net/publication/333636062_Dicotomia_Naturaleza_-_Tecnologia_dialogo_entre_el_Constructivismo_Social_de_la_Tecnologia_y_la_Ecologia_Politica_Latinoamericana
15. Domínguez D. Usos éticos de la IA en la Universidad Moderna- más allá del plagio. 2024. https://edulab.es/revEDU/article/view/5184/3446
16. García F. El Uso de la Inteligencia Artificial en la Producción de Contenidos por Estudiantes de Comunicación: Desafíos y Oportunidades. 2024. https://revista.consejodecomunicacion.gob.ec/index.php/rec/article/view/208/679
17. Gómez G. Perspectivas para abordar la inteligencia artificial en la enseñanza de periodismo. Una revisión de experiencias investigadoras y docentes. 2022. https://nuevaepoca.revistalatinacs.org/index.php/revista/article/view/1682/3582
18. Guerrero Troya NM. La inteligencia artificial en el periodismo de Cotopaxi. 2024. https://revista.consejodecomunicacion.gob.ec/index.php/rec/article/view/191/683
19. Jongitud J. Teorías éticas contemporáneas. 2021. http://www.rtfd.es/numero5/3-5.pdf
20. Ley Orgánica de Comunicación. 2020. https://www.telecomunicaciones.gob.ec/wp-content/uploads/2020/01/Ley-Organica-de-Comunicaci%C3%B3n.pdf
21. Ley Orgánica de Protección de Datos Personales. 2021. https://www.finanzaspopulares.gob.ec/wp-content/uploads/2021/07/ley_organica_de_proteccion_de_datos_personales.pdf
22. López P, Martínez P, Oñate P. Agenda melding y teorías de la comunicación: la construcción de la imagen de los actores políticos en las redes sociales. 2020. file:///C:/Users/Usuario/Downloads/Dialnet-AgendaMeldingYTeoriasDeLaComunicacion-8288525.pdf
23. Lopezosa C, Sorribes C, Codina L, Vállez M. Uso de la inteligencia artificial generativa en la formación de los periodistas: desafíos, usos y propuesta formativa. 2023. https://revista.profesionaldelainformacion.com/index.php/EPI/article/view/87356/63452
24. Mateos J, Arroyo R. Metodologías de investigación y usos de la inteligencia artificial aplicada al periodismo. 2024. http://www.comunicacionymetodos.com/index.php/cym/article/view/220/159
25. Mollán A. Capítulo III. Pensamiento pedagógico de Spencer Durkheim. 2019. https://1library.co/article/pensamiento-pedag%C3%B3gico-de-herbert-spencer.y8gl9855
26. Mucha A. Teoría de la educación. 2022. https://www.researchgate.net/publication/361292328_TEORIA_DE_LA_EDUCACION
27. Páez Á, Saldaña W, Artigas W, Ríos F. La inteligencia artificial en el periodismo. Revisión bibliométrica en Scopus (1989-2022). 2023. https://www.academia.edu/121336309/La_inteligencia_artificial_en_el_periodismo_Revision_bibliometrica_en_Scopus_1989_2022_
28. Rincón É. Ética y política en Platón y Aristóteles. 2020. https://www.researchgate.net/publication/349767738_Etica_y_politica_en_Platon_y_Aristoteles
29. Toscano J, Loza E, Franco A. La transformación digital en el turismo: un modelo desde la construcción social de la tecnología (SCOT). 2023. https://revistas.pucp.edu.pe/index.php/360gestion/article/view/27190/25898
30. Vállez M, Codina L. Periodismo computacional: Evolución, Casos y Herramientas. 2019. https://revista.profesionaldelainformacion.com/index.php/EPI/article/view/epi.2018.jul.05/40575
FINANCIACIÓN
Ninguna.
CONFLICTO DE INTERESES
Ninguno.
CONTRIBUCIÓN DE AUTORÍA
Conceptualización: Hermin Samuel Vera Candelario, Héctor Córdova.
Curación de datos: Hermin Samuel Vera Candelario, Héctor Córdova.
Análisis formal: Hermin Samuel Vera Candelario, Héctor Córdova.
Investigación: Hermin Samuel Vera Candelario, Héctor Córdova.
Metodología: Hermin Samuel Vera Candelario, Héctor Córdova.
Administración del proyecto: Hermin Samuel Vera Candelario, Héctor Córdova.
Recursos: Hermin Samuel Vera Candelario, Héctor Córdova.
Software: Hermin Samuel Vera Candelario, Héctor Córdova.
Supervisión: Hermin Samuel Vera Candelario, Héctor Córdova.
Validación: Hermin Samuel Vera Candelario, Héctor Córdova.
Visualización: Hermin Samuel Vera Candelario, Héctor Córdova.
Redacción – borrador original: Hermin Samuel Vera Candelario, Héctor Córdova.
Redacción – revisión y edición: Hermin Samuel Vera Candelario, Héctor Córdova.